Módulo 1:
Introducción a la Inteligencia Artificial
en la Educación

Diplomado: Herramientas de Inteligencia Artificial para Educadores Innovadores

Portada del Módulo

Dr. Salvador Tututi Ávila      I.Q. Juan José Alonso Tijerina

Duración del Módulo: 6 horas (2 Síncronas / 4 Asíncronas)

1 / 24

Agenda del Módulo 1

Contenidos Principales

  • ¿Qué es la Inteligencia Artificial? Conceptos clave para educadores
  • Tipos de IA relevantes para la educación (énfasis en IA Generativa)
  • Breve historia y evolución de la IA en el ámbito educativo
  • Potencial transformador: Oportunidades para enseñanza y aprendizaje
  • Consideraciones éticas: Sesgos, privacidad, plagio y uso responsable
  • Actividades: Foro de discusión y Quiz de conceptos básicos
Agenda Visual
2 / 24

¿Qué es la Inteligencia Artificial?

Definición Fundamental

La Inteligencia Artificial (IA) es un campo multidisciplinario de la informática dedicado a la creación de sistemas computacionales capaces de realizar tareas que tradicionalmente requieren inteligencia humana.

Capacidades clave: Aprendizaje automático, razonamiento lógico, resolución de problemas complejos, percepción sensorial, comprensión y generación de lenguaje natural, y toma de decisiones autónomas.

La IA busca replicar y, en algunos casos, superar los procesos cognitivos humanos mediante algoritmos sofisticados, permitiendo a las máquinas "pensar", "aprender" y "actuar" de manera inteligente en diversos contextos.

Técnicas Más Comunes de IA:

Machine Learning

  • Aprendizaje Supervisado: Clasificación y regresión
  • Aprendizaje No Supervisado: Clustering y reducción de dimensionalidad
  • Aprendizaje por Refuerzo: Q-learning y políticas adaptativas
  • Transfer Learning: Reutilización de conocimiento entre dominios

Deep Learning

  • Redes Neuronales Convolucionales (CNN): Procesamiento de imágenes
  • Redes Neuronales Recurrentes (RNN): Secuencias temporales
  • Transformers: Procesamiento de lenguaje natural
  • Redes Generativas Adversariales (GAN): Generación de contenido
Concepto de IA Inteligencia Artificial
3 / 24

IA: Relevancia para Educadores

IA en Educación

Reporte HolonIQ: "Challenges for AI in education?" (2019)

Encuesta global: 377 ejecutivos del sector educativo identificaron los principales obstáculos para la adopción de IA.

Hallazgo principal: El 48% reportó que la falta de una estrategia clara de IA es la barrera más grande.

Instituciones (50%)
Falta de estrategia clara
EdTech (25%)
Menos preocupación por estrategia
Falta de talento (49%)
Escasez de habilidades en IA
Falta de liderazgo (39%)
Ausencia de visión ejecutiva

Implicación clave: Las instituciones educativas necesitan desarrollar estrategias claras de IA, formar talento especializado y establecer liderazgo comprometido para superar las barreras de adopción.

Transformación Educativa

Para los educadores del siglo XXI, la IA representa mucho más que una tendencia tecnológica: es un conjunto revolucionario de herramientas que puede transformar fundamentalmente la enseñanza y el aprendizaje.

Principio fundamental: La IA no busca reemplazar al docente, sino potenciar exponencialmente sus capacidades pedagógicas y crear nuevas oportunidades educativas.

Al comprender la IA, los educadores pueden tomar decisiones informadas sobre su implementación, guiar éticamente a los estudiantes en un mundo cada vez más digital, y aprovechar estas herramientas para personalizar la educación a escala nunca antes vista.

4 / 24

Actividad Intermedia

Actividad Principal: Manus AI

¿Qué es Manus AI?

Manus AI es una plataforma avanzada de inteligencia artificial que permite a los usuarios interactuar con agentes IA especializados en diferentes dominios. La plataforma ofrece capacidades de procesamiento de lenguaje natural, generación de contenido y asistencia inteligente para diversas tareas educativas y profesionales.

Modo Agente
Interacción con IA especializada en tareas específicas
Diapositivas Activas
Integración con presentaciones para contexto visual
Procesamiento Multimodal
Análisis de texto, imágenes y contenido multimedia

¡Actividad Interactiva!

Explora Manus AI en modo agente con diapositivas activadas

Paso 1

Accede a Manus AI en modo agente

Paso 2

Activa las diapositivas para contexto visual

Paso 3

Interactúa con el agente IA especializado

Ir a Manus AI

Haz clic para abrir directamente en una nueva pestaña

Discusión: IQ de los Modelos Actuales de IA

Los modelos de IA actuales exhiben capacidades cognitivas que pueden ser comparadas con diferentes niveles de inteligencia humana, aunque de manera especializada y no general.

Capacidades Actuales

  • Razonamiento lógico: Resolución de problemas matemáticos complejos
  • Comprensión de lenguaje: Análisis y generación de texto sofisticado
  • Creatividad: Generación de contenido original y artístico
  • Memoria: Acceso a vastas bases de conocimiento

Limitaciones Clave

  • Inteligencia general: Especialización en tareas específicas
  • Comprensión contextual: Falta de experiencia del mundo real
  • Consciencia: Ausencia de autoconciencia genuina
  • Razonamiento causal: Dificultad con relaciones causales complejas

Perspectiva educativa: Los modelos de IA actuales pueden considerarse como "superinteligentes" en dominios específicos (como procesamiento de lenguaje o resolución de problemas matemáticos), pero carecen de la inteligencia general y adaptabilidad que caracteriza a la inteligencia humana.

Seguimiento del Progreso de IA

Tracking AI

Plataforma para monitorear el progreso y capacidades de los modelos de IA

Visitar Tracking AI
5 / 24
Manus AI Tracking AI

Características Fundamentales de la IA

Características de la IA

Aprendizaje Automático

Capacidad de adquirir conocimientos, identificar patrones y mejorar el rendimiento a partir de la experiencia y los datos, sin programación explícita

Resolución de Problemas

Habilidad para analizar situaciones complejas, evaluar múltiples variables y encontrar soluciones óptimas a desafíos multifacéticos

Procesamiento de Lenguaje

Comprensión, interpretación y generación de lenguaje humano natural, incluyendo contexto, semántica y pragmática

Percepción Inteligente

Interpretación sofisticada de información sensorial: imágenes, sonidos, texto, permitiendo la comprensión del entorno

Autonomía Operativa

Capacidad de operar, tomar decisiones y ejecutar tareas de manera independiente en contextos específicos y controlados

Adaptabilidad

Flexibilidad para ajustarse a nuevas situaciones, aprender de errores y optimizar estrategias en tiempo real

6 / 24

Machine Learning: El Corazón de la IA

Aprendizaje Automático Explicado

El Machine Learning es una rama fundamental de la IA que permite a los sistemas aprender y mejorar automáticamente a través de la experiencia, sin ser programados explícitamente para cada tarea específica.

Proceso fundamental:

  • Ingesta de datos: Recopilación de información relevante
  • Identificación de patrones: Análisis y reconocimiento de tendencias
  • Creación de modelos: Desarrollo de representaciones predictivas
  • Mejora continua: Optimización basada en nuevos datos
Machine Learning
7 / 24

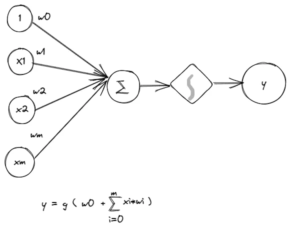
Deep Learning: Redes Neuronales Avanzadas

Arquitectura Neural Profunda

El Deep Learning representa la evolución más sofisticada del Machine Learning, utilizando redes neuronales artificiales con múltiples capas (de ahí "profundo") que simulan la estructura y funcionamiento del cerebro humano.

Capacidades revolucionarias:

  • Visión computacional: Reconocimiento y análisis de imágenes complejas
  • Procesamiento de audio: Transcripción y síntesis de voz
  • Generación de texto: Creación de contenido coherente y contextual
  • Creación artística: Generación de arte y diseño original

Revolución educativa: Herramientas como GPT-4, DALL-E, y Midjourney utilizan deep learning para generar contenido educativo original: desde explicaciones textuales hasta ilustraciones científicas personalizadas.

Deep Learning Arquitectura Neural Profunda Perceptrón
8 / 24

Comunicación con IA: NLP y Prompts

NLP y Prompts

Procesamiento de Lenguaje Natural (NLP)

El NLP permite a las máquinas comprender, interpretar, manipular y generar lenguaje humano de manera natural y contextualmente apropiada. Es la tecnología que hace posible la comunicación intuitiva entre humanos y sistemas de IA.

Prompts: Arte de la Instrucción IA

Los prompts son instrucciones cuidadosamente diseñadas que se proporcionan a modelos de IA para obtener respuestas específicas y de alta calidad. La efectividad del prompt determina directamente la utilidad de la respuesta.

Prompt educativo optimizado: "Actúa como un experto pedagogo. Crea una explicación de la fotosíntesis para estudiantes de 12 años, utilizando analogías familiares, incluyendo una actividad práctica, y proporcionando 3 preguntas de reflexión que fomenten el pensamiento crítico."

9 / 24

Actividad Síncrona: Redes Neuronales en Acción

Demostración Interactiva

Modalidad: Actividad Síncrona - Demostración guiada en tiempo real

TensorFlow Playground: Visualizando el Aprendizaje

Objetivo: Comprender visualmente cómo las redes neuronales aprenden y se adaptan a través de la experimentación interactiva.

Abrir TensorFlow Playground

Actividades de Exploración:

  • Observar el entrenamiento: Ve cómo la red aprende a clasificar puntos en tiempo real
  • Ajustar parámetros: Experimenta con diferentes tasas de aprendizaje y arquitecturas
  • Cambiar datasets: Prueba con diferentes conjuntos de datos (círculo, XOR, espiral)
  • Analizar resultados: Observa cómo cambian los patrones de clasificación

Reflexión grupal: ¿Cómo se relaciona este proceso de aprendizaje automático con las herramientas de IA que usamos en educación?

Red Neuronal Básica Red Neuronal Avanzada Red Neuronal Profunda
10 / 24

Clasificación de IA por Capacidad

IA Estrecha (ANI)

Estado actual: Especializada en tareas específicas como reconocimiento facial, traducción, o generación de texto. Toda la IA disponible hoy es de este tipo.

IA General (AGI)

Futuro hipotético: Capacidad de realizar cualquier tarea intelectual humana. Objeto de investigación intensiva pero aún no alcanzada.

Superinteligencia (ASI)

Especulación teórica: IA que supera significativamente la inteligencia humana en todos los aspectos. Tema de debate ético y filosófico.

Enfoque educativo práctico: Nos concentramos exclusivamente en la IA Estrecha, ya que es la única disponible actualmente y tiene aplicaciones inmediatas y tangibles en el aula moderna.

Video: IA General (AGI)

Video explicativo sobre el concepto de IA General y sus implicaciones

Infografía: Evolución de la IA

Evolución de la IA - Infografía

Haz clic en la imagen para ampliarla

11 / 24

IA Clasificada por Aplicación Educativa

Categorías Prácticas para Educadores

Sistemas de Tutoría Inteligente (ITS)

Plataformas que ofrecen instrucción personalizada, retroalimentación adaptativa y seguimiento individualizado del progreso estudiantil.

Herramientas de Evaluación Automatizada

Sistemas que califican automáticamente, identifican patrones de error, y proporcionan análisis detallados del rendimiento.

Chatbots y Asistentes Educativos

Asistentes virtuales disponibles 24/7 para responder preguntas, guiar el aprendizaje y proporcionar soporte académico.

IA Generativa

Herramientas que crean contenido original: textos, imágenes, videos, ejercicios, y materiales didácticos personalizados.

Aplicaciones Educativas
12 / 24

IA Generativa: Revolución Creativa

IA Generativa

Definición y Capacidades

La IA Generativa representa el paradigma más revolucionario de la inteligencia artificial contemporánea: sistemas capaces de crear contenido completamente original y contextualmente relevante a partir de patrones aprendidos de vastos conjuntos de datos.

Tecnologías subyacentes: Utiliza arquitecturas avanzadas como Transformers (GPT), Modelos de Difusión (DALL-E, Midjourney), y Redes Generativas Adversariales (GANs) para producir contenido indistinguible del creado por humanos.

Generación de Texto

Artículos, ensayos, resúmenes, planes de clase, ejercicios personalizados, y contenido académico estructurado

Creación Visual

Ilustraciones científicas, diagramas educativos, infografías, mapas conceptuales, y arte didáctico

Contenido Multimedia

Videos explicativos, animaciones educativas, presentaciones interactivas, y experiencias inmersivas

Código y Algoritmos

Programas educativos, simulaciones interactivas, herramientas pedagógicas, y aplicaciones personalizadas

13 / 24

Historia de la IA Educativa: Fundaciones

Los Pioneros (1960s-1980s)

1960s - Enseñanza Programada y CAI

Enseñanza programada: Inspirada en las "teaching machines" de B.F. Skinner, basadas en refinamiento por ensayo y error.

PLATO (1960): Primer sistema generalizado de instrucción asistida por computadora, implementado en la Universidad de Illinois. Introdujo pantallas táctiles, chat, foros, pruebas en línea y sirvió hasta los 2000s.

IBM 1500 (1966): Sistema CAI comercial con terminales gráficos y lápiz-óptico para hasta 32 alumnos.

Experimentos de Patrick Suppes (Stanford): CAI en matemáticas y lectura con IBM 1500, iniciando a mediados de los 1960s.

1970s - CAI y Comunidades Académicas

Ampliación de CAI con microcomputadoras como Apple II, Commodore PET, TRS-80, popularizando los ejercicios interactivos.

PLATO evolucionó: CATO, TUTOR, entornos multimedia, lógica programable y ecosistemas educativos en múltiples disciplinas.

Enfoques conductistas: Refuerzo inmediato, respuestas múltiples, aprendizaje a su propio ritmo.

1980s - Emergencia de los ITS

Investigación IA para tutoría adaptativa: Los ITS combinan psicología cognitiva e IA, avanzando más allá de CAI.

Ejemplos destacados:

  • LISP Tutor (1983): Detectaba errores en el uso del lenguaje Lisp y ofrecía feedback inmediato.
  • Sistemas TUTOR (1984) y PARNASSUS (1989, CMU): Para instrucción adaptativa en distintos dominios.
Historia Temprana IA

Legado Duradero

Estos primeros sistemas establecieron pilares clave que aún persisten:

Personalización
Plataformas adaptativas ajustan rutas según nivel y errores.
Retroalimentación inmediata
Usada en ejercicios online y procesos de evaluación.
Ritmo individual
Formularios dinámicos y auto-aprendizaje.
14 / 24

Historia de la IA Educativa: Era Digital

Era Digital IA

Revolución Tecnológica (1990s-Presente)

1990s-2000s - Internet y LMS

Internet revoluciona la educación a distancia. Aparecen los primeros Learning Management Systems (Moodle, Blackboard), democratizando el acceso a la educación digital.

2000s-2010s - Machine Learning Educativo

Avances en ML permiten sistemas adaptativos sofisticados. Khan Academy y plataformas similares introducen personalización basada en datos a escala masiva.

2020-Presente - Era Generativa

Noviembre 2022: ChatGPT marca un hito histórico. La IA Generativa se vuelve accesible al público general, transformando instantáneamente las posibilidades educativas.

Momento transformador: La democratización de la IA Generativa ha puesto en manos de cada educador herramientas que antes requerían equipos especializados y recursos masivos, marcando el inicio de una nueva era educativa.

15 / 24

Potencial Transformador: Docentes

Oportunidades Revolucionarias para Educadores

Automatización Inteligente

Tareas administrativas, calificación automática, programación de clases, y gestión de recursos educativos

Creación de Contenido

Material didáctico personalizado, ejercicios adaptativos, presentaciones interactivas, y evaluaciones diferenciadas

Personalización a Escala

Aprendizaje adaptativo masivo que responde a necesidades, ritmos y estilos individuales de cada estudiante

Análisis Predictivo

Identificación temprana de riesgos académicos, patrones de aprendizaje, y oportunidades de intervención

Potencial Docentes
16 / 24

Potencial Transformador: Estudiantes

Potencial Estudiantes Educación con IA Esfuerzo y Aprendizaje

Experiencias de Aprendizaje Transformadoras

Tutores Virtuales 24/7

Asistencia personalizada continua, resolución de dudas inmediata, y acompañamiento académico constante

Rutas de Aprendizaje Inteligentes

Trayectorias educativas que se adaptan dinámicamente al progreso, preferencias y objetivos individuales

Retroalimentación Instantánea

Feedback inmediato y específico que acelera el proceso de aprendizaje y corrección de errores

Creatividad Potenciada

Herramientas que amplifican la capacidad creativa y exploración de nuevas ideas y conceptos

17 / 24

Consideraciones Éticas Fundamentales

Desafíos Éticos Críticos

Imperativo ético: El uso responsable de IA en educación requiere consideración cuidadosa de estas dimensiones críticas para el bienestar estudiantil.

Privacidad de Datos

Protección rigurosa de información estudiantil sensible y cumplimiento de normativas de privacidad

Sesgos Algorítmicos

Identificación y mitigación de prejuicios que pueden perpetuar desigualdades educativas

Integridad Académica

Definición clara de límites entre asistencia y deshonestidad académica en el uso de IA

Equidad Digital

Garantizar acceso equitativo y prevenir que la IA amplíe brechas educativas existentes

Ética en IA
18 / 24

Mejores Prácticas Éticas

Framework de Implementación Responsable

Visión: Implementar IA de manera ética, transparente y centrada en el desarrollo integral del estudiante como persona.

Transparencia Total

Comunicación clara sobre cuándo, cómo y por qué se utiliza IA en procesos educativos

Supervisión Humana

Mantener la centralidad del educador en decisiones pedagógicas críticas

Literacidad Digital

Educación integral sobre IA para estudiantes, docentes y familias

Marcos Regulatorios

Desarrollo de políticas institucionales claras para uso educativo de IA

Prácticas Éticas
19 / 24

Actividad: Creación de Infografías con IA

Actividad Principal

Tarea: Crea una infografía de un tema de interés de una de tus materias con un generador de imágenes

Generadores de Imágenes Recomendados:

DALL-E 3

Integrado en ChatGPT Plus y Bing Image Creator. Excelente para infografías educativas

Copilot (Microsoft)

Acceso gratuito a DALL-E 3. Ideal para crear material didáctico

Midjourney

Calidad artística superior. Perfecto para ilustraciones educativas detalladas

Firefly (Adobe)

Integrado en Creative Suite. Excelente para diseños profesionales

Leonardo AI

Gratuito con límites. Muy bueno para infografías educativas

Canva AI

Herramienta integral con generación de imágenes. Ideal para educadores

Recomendación: Experimenta con diferentes prompts y generadores para encontrar el que mejor se adapte a tu estilo y necesidades educativas. Recuerda siempre verificar los derechos de uso de las imágenes generadas.

Creación de Infografías
20 / 24
Bing Image Creator Adobe Firefly Canva AI

Actividad: Foro de Reflexión Ética

Foro Discusión

Participación Activa en Comunidad de Aprendizaje

Objetivo: Agrega una discusión en Teams sobre la ética y riesgos de usar la IA generativa.

Preguntas Guía para la Reflexión:

  • Percepciones iniciales: ¿Cómo visualizas la integración de IA en tu práctica docente actual?
  • Preocupaciones éticas: ¿Qué dilemas éticos consideras más urgentes en tu contexto educativo?
  • Impacto estudiantil: ¿Cómo podría la IA beneficiar o desafiar a tus estudiantes específicos?
  • Soluciones proactivas: Propón una estrategia concreta para abordar un desafío ético identificado
21 / 24

Evaluación: Quiz Conceptos Fundamentales

Evaluación Formativa Integral

Propósito: Consolidar y verificar la comprensión de conceptos fundamentales de IA aplicados al contexto educativo.

Estructura del Quiz:

15 Preguntas

Selección múltiple y verdadero/falso

20 Minutos

Tiempo estimado de completación

2 Intentos

Múltiples oportunidades de práctica

Retroalimentación

Explicaciones detalladas por pregunta

Temas Evaluados:

  • Definiciones fundamentales de IA
  • Conceptos de Machine Learning y NLP
  • Características de IA Generativa
  • Hitos históricos importantes
  • Principios éticos básicos
Quiz Evaluación
22 / 24

Recursos de Aprendizaje Complementarios

Recursos Complementarios

Lecturas Especializadas

Artículos académicos actuales sobre IA en educación, investigaciones empíricas, y estudios de caso internacionales

Videos Educativos

Conferencias TED, documentales, demostraciones técnicas, y entrevistas con expertos en IA educativa

Podcasts Especializados

Episodios sobre tendencias en IA, debates éticos, y experiencias de implementación en diferentes países

Herramientas Interactivas

Simuladores de IA, plataformas de experimentación, y demos de herramientas educativas emergentes

Guías y Marcos

Documentos oficiales, marcos éticos institucionales, y mejores prácticas de organizaciones educativas

Comunidades de Práctica

Redes profesionales, grupos de discusión, y comunidades de educadores innovadores en IA

23 / 24

Síntesis del Módulo y Proyección Futura

Logros de Aprendizaje Alcanzados

Fundamentos Sólidos

Comprensión profunda de qué es la IA y su potencial transformador en educación

Conceptos Técnicos

Dominio de ML, NLP, Deep Learning, y IA Generativa aplicados a contextos educativos

Conciencia Ética

Comprensión crítica de implicaciones éticas y marcos para implementación responsable

Visión Estratégica

Perspectiva informada sobre el rol del educador en la era de la IA

🚀 Adelanto del Módulo 2: "Explorando Herramientas de IA Generativa" - Sumérgete en la experiencia práctica con ChatGPT, Gemini, Claude, y otras plataformas revolucionarias. ¡Prepárate para transformar tu práctica pedagógica con experimentación hands-on y proyectos reales!

Reflexión final: La IA no es solo una herramienta tecnológica, es un catalizador para reimaginar la educación del siglo XXI. Tu papel como educador es fundamental para guiar esta transformación de manera ética y centrada en el desarrollo humano integral.

Futuro de la Educación
24 / 24